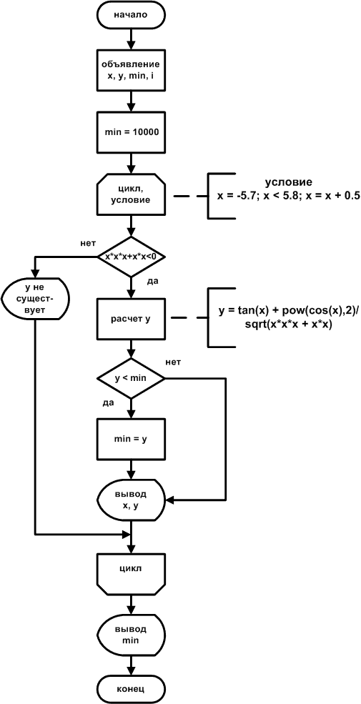
1. Условие задачи
Для x
[-5,7;5,7] вычислить
Шаг изменения x равен 0,5. Значения x и y вывести в виде таблицы. Найти минимальное значение y на данном интервале.
2. Решение
Организуем цикл для вычислений значений функции
Аргумент
функции будет изменяться с шагом 0,5 в следующих пределах: x
[-5,7;5,7]. Значения функции и аргумента выведем на экран в виде таблицы.
В цикле находим минимальное значение функции min.

4. Текст программы
1: #include <stdio.h>
2: #include <conio.h>
3: #include <math.h>
4: void main()
5: {
6: float x, y, min;
7: clrscr();
8: x=-5.7;
9: min=10000;
10: printf ("\n \t||=============================||");
11: printf ("\n \t|| x || y ||");
12: printf ("\n \t||=============================||");
13: for (x=-5.7; x<5.8; x=x+0.5)
14: {
15: if (x*x*x+x*x<0)
16: printf ("\n \t|| %4.1f || --- ||", x, y);
17: else
18: {
19: y=tan(x)+pow(cos(x), 2)/pow(x*x*x+x*x, 0.5);
20: if (y<min)
21: min=y;
22: printf ("\n \t|| %4.1f || %6.2f ||", x, y);
23: }
24: }
25: printf ("\n \t||=============================||");
26: printf ("\n\n минимум y: %f", min);
27: getchar();
28: }
5. Работа программы
6.
Проверка Осуществим
проверку одного значения при x = 4,8:
||=============================||
|| x || y ||
||=============================||
|| -5.7 || --- ||
|| -5.2 || --- ||
|| -4.7 || --- ||
|| -4.2 || --- ||
|| -3.7 || --- ||
|| -3.2 || --- ||
|| -2.7 || --- ||
|| -2.2 || --- ||
|| -1.7 || --- ||
|| -1.2 || --- ||
|| -0.7 || 0.68 ||
|| -0.2 || 5.17 ||
|| 0.3 || 2.98 ||
|| 0.8 || 1.48 ||
|| 1.3 || 3.64 ||
|| 1.8 || -4.27 ||
|| 2.3 || -1.01 ||
|| 2.8 || -0.19 ||
|| 3.3 || 0.30 ||
|| 3.8 || 0.85 ||
|| 4.3 || 2.30 ||
|| 4.8 || -11.38 ||
|| 5.3 || -1.48 ||
||=============================||
минимум y: -11.384184
y = tg4,8 + (cos4,8)2 / (4,83+4,82)0.5
= -11,38 + 0,0076 / 11,53 = -11,38.
Программа работает корректно. Минимальное значение функции было определено верно.